How We Measure the Impact of Exoskeletons on the Body
Authors:
(1) Mohammad Shushtari, Department of Mechanical and Mechatronics Engineering, University of Waterloo ([email protected]);
(2) Julia Foellmer, Mechanics and Ocean Engineering Department, Hamburg University of Technology ([email protected]);
(3) Sanjay Krishna Gouda, Department of Mechanical and Mechatronics Engineering, University of Waterloo and Toronto Rehabilitation Institute (KITE), University Health Network ([email protected]).
Table of Links
Abstract and 1 Introduction
2 Results
2.1 Initial Processed Data for a Representative Participant
2.2 Overall Performance Analysis
2.3 Interaction Portrait Analysis
2.4 Individual Adaptation Strategy
3 Discussion
3.1 Human Adaptation
3.2 Importance of IP Analysis
4 Conclusion
5 Methods
5.1 Feedforward Control Strategies
5.2 Experimental Setup
5.3 Experimental Protocol
5.4 Data Analysis
Declarations
Appendix A Complementary Example Data
Appendix B Comparison with Natural Walking
References
5.4 Data Analysis
5.4.1 Ground Reaction Force
Force plates are utilized to measure the ground reaction forces (GRF) in the vertical, lateral, and longitudinal directions. Heel strike events are detected using the vertical GRF, enabling the segmentation of collected data into individual strides. The recorded GRF during no exoskeleton walking is temporally normalized and averaged based on the gait phase as
5.4.2 Muscle Activation
The EMG data was bandpass filtered, with cutoff frequencies of 5 and 500 Hz. The signal was then full-wave rectified and its envelope was computed by applying a moving average with a window of 100 ms. Each EMG signal is normalized by its respective maximum voluntary contraction (MVC), computed for each muscle as the maximum measured contraction during walking on the treadmill (maximum across with and without the exoskeleton walking). The average muscle effort [32, 33] is computed for each muscle at each stride as
5.4.3 Interaction Torque
The human-exoskeleton interaction torque is estimated based on Eq. 1, given by
The mean absolute interaction torque is then calculated for each joint as:
5.4.4 VO2
VO2 is computed for each breath. To normalize the VO2 measurements across participants, the average VO2 during treadmill walking with no exoskeleton at each speed v is computed as:
5.4.5 Human-Exoskeleton Interaction Portrait (IP) Analysis
After normalizing ∆τ and ∆µ across participants and walking speeds, we investigate their variation with respect to each other. Fig. 1 illustrates the possible outcomes:
• Disagreement Increase (∆τ > 0 , ∆µ > 0) This condition is associated with an increase in both the total interaction torque and the total muscular effort, indicating that switching from controller c1 to controller c2 has led to an elevation of human muscular effort. Consequently, their contribution to motion has increased. This, however, has resulted in a higher total interaction torque with the exoskeleton, implying that the applied torques by the exoskeleton are not aligned with the user’s desired motion. As a result, the user needs to exert additional effort to correct the motion while contending against the applied torques from the exoskeleton. Thus, the increased interaction indicates a lack of harmony between the user’s intentions and the assistance delivered by the exoskeleton.
• Disagreement Decrease (∆τ < 0 , ∆µ < 0) If controller c2 demonstrates improved consistency compared to c1 with the user’s desired motion, the user will experience less resistance from the exoskeleton. This reduced discordance between the exoskeleton and the user’s intended movements results in decreased total muscular effort and overall exertion by the user. Additionally, achieving a further reduction in disagreement between the human and exoskeleton can lead to one of the two next scenarios.
• Human Yields Control to Robot (∆τ > 0 , ∆µ < 0) With the continued reduction in human-user interaction, a user may consider relinquishing motion control to the exoskeleton. This implies that the user will no longer actively contribute to the movement and will essentially deactivate their muscles, resulting in a decrease in overall muscular effort. Consequently, the exoskeleton must generate the necessary torque to facilitate the movement of both the exoskeleton and the passive dynamics of the human body. The increase in human-exoskeleton interaction torques, in this scenario, is not due to conflicts between the exoskeleton’s motion and the user’s desired motion but rather because the exoskeleton is effectively carrying the user’s body.
• Human Takes Control (∆τ < 0 , ∆µ > 0) In a contrasting scenario, the user may actively participate in the motion, resulting in an increased level of muscular effort. Consequently, the total interaction torque between the user and the exoskeleton may decrease. This reduction occurs because the human and exoskeleton motions are synchronized in time and consistent in space, creating a harmonious alignment between the two.
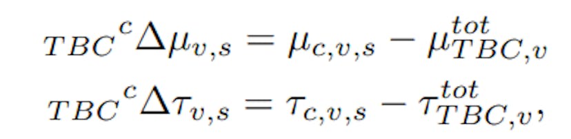
We conducted the aforementioned analysis at various speeds for the TBC→HTC, TBC→AMTC, and HTC→AMTC cases. We also performed a stride-wise analysis for the TBC→HTC and TBC→AMTC scenarios, which involves computing changes of total interaction force and muscle effort at each stride during the HTC and AMTC controllers as
where c ∈ {HTC, MBTC}. These calculations allowed us to analyze the precise changes in interaction force and muscular effort for each stride during the HTC and AMTC controllers in relation to the TBC controller.
5.4.6 Statistical Analysis
To identify statistical differences, we initially employed a Friedman test with a significance level of 0.05 to test group-level differences. Following the Friedman test, we conducted pairwise comparisons, between the blocks, using the Wilcoxon signed-rank test. To account for multiple comparisons between the three blocks, we applied the Bonferroni correction.






